Skip to Content
MilliporeSigma

389374

Sigma-Aldrich

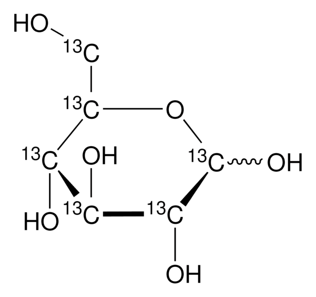
D-Glucose-13C6

≥99 atom % 13C, ≥99% (CP)

Synonym(s):

Labeled Glucose, D-Glucose-ul-13C, Dextrose-13C6

Sign Into View Organizational & Contract Pricing

About This Item

Empirical Formula (Hill Notation):
13C6H12O6
CAS Number:
Molecular Weight:
186.11
MDL number:
UNSPSC Code:
12142200
PubChem Substance ID:
NACRES:
NA.12
Technical Service
Need help? Our team of experienced scientists is here for you.
Let Us Assist

isotopic purity

≥99 atom % 13C

Quality Level

assay

≥99% (CP)

form

powder

optical activity

[α]25/D +52.0°, c = 2 in H2O (trace NH4OH)

technique(s)

bio NMR: suitable
protein expression: suitable
protein purification: suitable

mp

150-152 °C (lit.)

mass shift

M+6

SMILES string

O[13CH2][13C@H]1O[13C@H](O)[13C@H](O)[13C@@H](O)[13C@@H]1O

InChI

1S/C6H12O6/c7-1-2-3(8)4(9)5(10)6(11)12-2/h2-11H,1H2/t2-,3-,4+,5-,6?/m1/s1/i1+1,2+1,3+1,4+1,5+1,6+1

InChI key

WQZGKKKJIJFFOK-NYKRWLDMSA-N

Looking for similar products? Visit Product Comparison Guide

Related Categories

Application

D-Glucose-13C6 has been used:
  • for de novo fatty acid (FA) synthesis
  • as a component in tracing media for the analysis of stable isotope tracer
  • in minimal media for recombinant protein production
  • for cell suspension

Biochem/physiol Actions

D-Glucose-13C6 functions as a tracer and helps to access glucose kinetics in vivo.

Packaging

This product may be available from bulk stock and can be packaged on demand. For information on pricing, availability and packaging, please contact Stable Isotopes Customer Service.

Storage Class

11 - Combustible Solids

wgk_germany

WGK 1

flash_point_f

Not applicable

flash_point_c

Not applicable

ppe

Eyeshields, Gloves, type N95 (US)


Choose from one of the most recent versions:

Certificates of Analysis (COA)

Lot/Batch Number

Don't see the Right Version?

If you require a particular version, you can look up a specific certificate by the Lot or Batch number.

Already Own This Product?

Find documentation for the products that you have recently purchased in the Document Library.

Visit the Document Library

Dietary Sugars: Chemistry, Analysis, Function and Effects (2012)
Y Oda et al.
Biochemistry, 33(17), 5275-5284 (1994-05-03)
All of the individual carboxyl groups (the side-chain carboxyl groups of Asp and Glu, and the C-terminal alpha-carboxyl group) in Escherichia coli ribonuclease HI, which is an enzyme that cleaves the RNA strand of a RNA/DNA hybrid, were pH-titrated, and
Zoran Dinev et al.
Carbohydrate research, 341(10), 1743-1747 (2006-04-11)
A simple gram-scale synthesis of uridine diphospho(13C6)glucose is presented from D-(13C6)glucose. The critical step uses a 1H-tetrazole-catalyzed coupling of 2,3,4,6-tetra-O-acetyl-alpha-D-glucopyranosyl-1-phosphate and UMP-morpholidate. The uridine diphospho(13C6)glucose was used in the structural identification of (1-->3)-beta-D-glucan from Lolium multiflorum.
Metabolic profiling reveals a coordinated response of isolated lamb's (Valerianella locusta, L.) lettuce cells to sugar starvation and low oxygen stress
Victor BMM, et al.
Postharvest biology and technology, 126, 23-33 (2017)
RSK Regulates PFK-2 Activity to Promote Metabolic Rewiring in Melanoma
Houles T, et al.
Cancer Research, canres-ca2215 (2018)

Articles

Review the 10 steps of glycolysis in the Embden-Meyerhof-Parnas glycolytic pathway. Easily compare reaction stages and buy the enzymes for your life science research.

Utilizing ISOGRO® Supplementation of M9 Minimal Media to Enhance Recombinant Protein Expression.

Related Content

Protein structure analysis aids in identifying disease biomarkers and drug targets crucial for therapeutic treatments.

El análisis de la estructura de proteínas ayuda a identificar biomarcadores de enfermedad y dianas terapéuticas cruciales para los tratamientos.

Our team of scientists has experience in all areas of research including Life Science, Material Science, Chemical Synthesis, Chromatography, Analytical and many others.

Contact Technical Service