Select a Size
About This Item
grade
certified reference material
Quality Level
form
liquid
feature
SNAP-N-SPIKE®, SNAP-N-SHOOT®
packaging
ampule of 1 mL
manufacturer/tradename
Cerilliant®
concentration
100 μg/mL in methanol
technique(s)
gas chromatography (GC): suitable, liquid chromatography (LC): suitable
application(s)
clinical testing
format
single component solution
storage temp.
−20°C
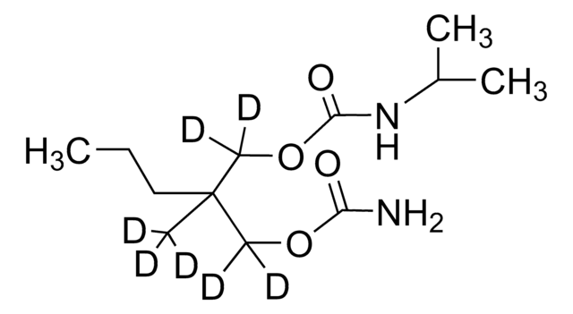
SMILES string
[2H]C([2H])([2H])C(CCC)(C([2H])([2H])OC(N)=O)C([2H])([2H])OC(=O)NC(C)C
InChI
1S/C12H24N2O4/c1-5-6-12(4,7-17-10(13)15)8-18-11(16)14-9(2)3/h9H,5-8H2,1-4H3,(H2,13,15)(H,14,16)/i4D3,7D2,8D2
InChI key
OFZCIYFFPZCNJE-GDXCJPCVSA-N
General description
Legal Information
Disclaimer
Still not finding the right product?
Explore all of our products under Carisoprodol-D7 solution
signalword
Danger
Hazard Classifications
Acute Tox. 3 Dermal - Acute Tox. 3 Inhalation - Acute Tox. 3 Oral - Flam. Liq. 2 - STOT SE 1
target_organs
Eyes
Storage Class
3 - Flammable liquids
wgk
WGK 1
flash_point_f
49.5 °F - closed cup
flash_point_c
9.7 °C - closed cup
Certificates of Analysis (COA)
Search for Certificates of Analysis (COA) by entering the products Lot/Batch Number. Lot and Batch Numbers can be found on a product’s label following the words ‘Lot’ or ‘Batch’.
Already Own This Product?
Find documentation for the products that you have recently purchased in the Document Library.
Global Trade Item Number
| SKU | GTIN |
|---|---|
| C-083-1ML | 04061833444665 |


