콘텐츠로 건너뛰기
Merck

G5642

Sigma-Aldrich

Monosialoganglioside GM₃

from canine blood, ≥98%, epidermal cell growth inhibitor, lyophilized powder

로그인조직 및 계약 가격 보기

크기 선택


제품정보 (DICE 배송 시 비용 별도)

CAS 번호:
MDL number:
UNSPSC 코드:
12352200
NACRES:
NA.77
기술 서비스
도움이 필요하신가요? 저희 숙련된 과학자 팀이 도와드리겠습니다.
도움 문의
기술 서비스
도움이 필요하신가요? 저희 숙련된 과학자 팀이 도와드리겠습니다.
도움 문의

제품 이름

Monosialoganglioside GM3 from canine blood, ≥98%, lyophilized powder

Quality Level

분석

≥98%

양식

lyophilized powder

solubility

chloroform/methanol/water (9.5:9.5:1): 20 mg/mL, clear, colorless to light yellow

저장 온도

−20°C

유사한 제품을 찾으십니까? 방문 제품 비교 안내

일반 설명

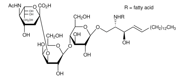
Gangliosides are major constituents of neuronal cell membranes and endoplasmic reticulum. They contain a sialated polysaccharide chain linked to ceramide through a β-glycosidic linkage. For classification of gangliosides see Svennerholm, L., et al. (eds.), Structure and Function of Gangliosides, New York, Plenum, 1980.

애플리케이션

Monosialoganglioside GM3 from canine blood has been used as a reference standard in high-performance thin-layer chromatography (HPTLC) to analyze ganglioside signatures of prostate cancer (CaP) cells. It has also been used to determine ganglioside-binding profiles of methylotrophic yeast (Pichia pastoris) secreted cholera toxin B subunit (PpCTB) by enzyme-linked immunosorbent assay (ELISA).

생화학적/생리학적 작용

Monosialoganglioside GM3 has a potential role in cancer development and progression. Increased expression of GM3 has been observed in various types of cancer. Hence, it is used as a tumor-associated carbohydrate antigen during cancer vaccine development.
Monosialoganglioside-GM3 is the most common ganglioside and the major ganglioside in non-neuronal cell membranes. It inhibits epidermal cell growth and is involved in the biosynthesis and metabolism of all higher gangliosides.

분석 메모

The product is soluble at 20 mg/mL in a 1:1 mixture of chloroform and ethanol with 5% water. The resulting solution is colorless

Storage Class Code

11 - Combustible Solids

WGK

WGK 3

Flash Point (°F)

Not applicable

Flash Point (°C)

Not applicable

개인 보호 장비

Eyeshields, Gloves, type N95 (US)


가장 최신 버전 중 하나를 선택하세요:

시험 성적서(COA)

Lot/Batch Number

적합한 버전을 찾을 수 없으신가요?

특정 버전이 필요한 경우 로트 번호나 배치 번호로 특정 인증서를 찾을 수 있습니다.

이 제품을 이미 가지고 계십니까?

문서 라이브러리에서 최근에 구매한 제품에 대한 문서를 찾아보세요.

문서 라이브러리 방문

Mepur H Ravindranath et al.
Biochemical and biophysical research communications, 324(1), 154-165 (2004-10-07)
Prior development of a unique androgen-receptor (AR)-negative cell line (HH870) from organ-confined (T2b) human prostate cancer (CaP) enabled comparison of the gangliosides associated with normal and neoplastic prostate epithelial cells, organ-confined versus metastatic (DU 145, PC-3), and AR-negative versus AR-positive
Annemieke de Jong et al.
Nature immunology, 15(2), 177-185 (2013-12-24)
T cells autoreactive to the antigen-presenting molecule CD1a are common in human blood and skin, but the search for natural autoantigens has been confounded by background T cell responses to CD1 proteins and self lipids. After capturing CD1a-lipid complexes, we

문서

Discover Bioactive Small Molecules for Lipid Signaling Research

지질 신호전달 연구를 위한 생체 활성 저분자

자사의 과학자팀은 생명 과학, 재료 과학, 화학 합성, 크로마토그래피, 분석 및 기타 많은 영역을 포함한 모든 과학 분야에 경험이 있습니다..

고객지원팀으로 연락바랍니다.