Skip to Content
Merck
HomeReaction Design & OptimizationSodium Triacetoxyborohydride

Sodium Triacetoxyborohydride

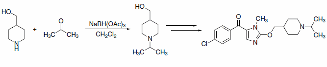
Amine synthesis is one of the most common organic transformations when designing new drug candidates, and the reductive amination of carbonyl compounds is among the most useful and important tools to achieving structurally diverse primary, secondary, and tertiary amines. Sodium triacetoxyborohydride (NaBH(OAc)3) is particularly effective in reductive aminations due to its large scope, mildness, and selectivity.1 It is preferred to sodium cyanoborohydride (NaBH3CN) in many applications due to reduced toxicity of the side products formed, and better yields and reproducibility during synthesis. A typical reaction is taken from the synthesis of a key intermediate of a potent histamine H3 receptor antagonist (Scheme 1).2

Receptor Antagonist

Scheme 1.Receptor Antagonist

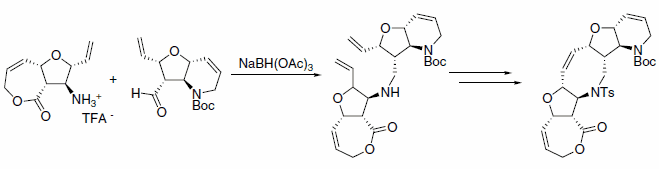
The reductive aminations of complex substrates also proceed smoothly using sodium triacetoxyborohydride, as in the example shown in Scheme 2. The product is an intermediate in a ring closing metathesis approach to a pentaheterocyclic ring system.3

triacetoxyborohydride

Scheme 2.Triacetoxyborohydride

A unique, one-pot synthesis of substituted N-acylpiperazinones from N-(2-oxoethyl)amides and α-amino esters by a novel tandem reductive amination-transamidation-cyclization process has been described (Scheme 3). This protocol was applied to the synthesis of a conformationally constrained farnesyltransferase inhibitor.4

farmesyltransferase-inhibitor

Scheme 3.Farmesyltransferase-inhibitor

A recent report detailed a one-pot, three-component reaction to produce 1,2-disubstituted-3-alkylidenylpyrrolidines using sodium triacetoxyborohydride for in situ reduction of the intermediate pyrrolium salts (Scheme 4). In these reactions, only the (E)-isomer of the product is generated.5

Pyrrolium salts

Scheme 4.Pyrrolium salts

Recently, sodium triacetoxyborohydride was used to stereoselec-tively reduce 4-ketoprolines to the corresponding trans-hydroxy-proline in excellent yields (Scheme 5). By comparison, reduction of the 4-ketoproline esters failed to provide any product.6

Ketoprolines

Scheme 5.Ketoprolines

Materials

Loading

References

1.
Abdel-Magid AF, Carson KG, Harris BD, Maryanoff CA, Shah RD. 1996. Reductive Amination of Aldehydes and Ketones with Sodium Triacetoxyborohydride. Studies on Direct and Indirect Reductive Amination Procedures1. J. Org. Chem.. 61(11):3849-3862. https://doi.org/10.1021/jo960057x
2.
Mani NS, Jablonowski JA, Jones TK. 2004. A Scalable Synthesis of a Histamine H3Receptor Antagonist. J. Org. Chem.. 69(23):8115-8117. https://doi.org/10.1021/jo040225i
3.
Winkler JD, Asselin SM, Shepard S, Yuan J. 2004. Metathesis Approach to the Synthesis of Polyheterocyclic Structures from Oxanorbornenes. Org. Lett.. 6(21):3821-3824. https://doi.org/10.1021/ol0484106
4.
Beshore DC, Dinsmore CJ. 2002. Preparation of Substituted Piperazinones via Tandem Reductive Amination?(N,N?-Acyl Transfer)?Cyclization. Org. Lett.. 4(7):1201-1204. https://doi.org/10.1021/ol025644l
5.
Huang W, O?Donnell M, Bi G, Liu J, Yu L, Baldino CM, Bell AS, Underwood TJ. 2004. Synthesis of 1,2-disubstituted-3-alkylidenylpyrrolidines via a one-pot three-component reaction. Tetrahedron Letters. 45(46):8511-8514. https://doi.org/10.1016/j.tetlet.2004.09.116
6.
Liu Y, Wong JK, Tao M, Osterman R, Sannigrahi M, Girijavallabhan VM, Saksena A. 2004. Carboxy mediated stereoselective reduction of ketones with sodium triacetoxyborohydride: synthesis of novel 3,4-fused tetrahydropyran and tetrahydrofuran prolines. Tetrahedron Letters. 45(32):6097-6100. https://doi.org/10.1016/j.tetlet.2004.06.070
Sign In To Continue

To continue reading please sign in or create an account.

Don't Have An Account?