Multiplexing in Veterinary Medicine and Animal Health Research
- Benefits of Using Biomarker Detection Multiplex Immunoassays in Animal Research
- MILLIPLEX® Multiplex Assays for Veterinary Medicine and Animal Health Research
- Examples of Cytokine Multiplex Analysis for Agricultural Animal Research
- Example of Pituitary Hormone Multiplex Analysis for Companion Animal Research
- Featured Customer Interviews
- Related Products
- Highlighted Publications
Research in veterinary medicine and animal health is crucial to the protection of both animal and human health, and the advancement of science. Explore the benefits of using biomarker detection multiplex immunoassays, such as MILLIPLEX® multiplex assays, for laboratory, companion, and agricultural animal research.
Benefits of Using Biomarker Detection Multiplex Immunoassays in Animal Research
Animal health research encompasses many different areas including veterinary medicine, animal models for laboratory studies, as well as companion and agricultural animal studies. Biomarker detection multiplex immunoassays can offer benefits for this laboratory, companion, and agricultural animal research. With multiplexing, researchers can save valuable time, money, and sample volume while dramatically increasing the number of data points generated from a single assay.
MILLIPLEX® Multiplex Assays for Veterinary Medicine and Animal Health Research
MILLIPLEX® multiplex assays, based on Luminex® xMAP® technology, enable scientists studying veterinary medicine, animal health, and animal models, as well as human health, to understand complex biological systems and processes. Our kit offerings span across companion, agricultural, and research animals, and humans.
MILLIPLEX® kits can analyze the following animal species:
Laboratory Animals
|
Companion Animals
|
Agricultural Animals
|
These highly verified assays help save time and sample volume while producing the highest quality data (Table 1).
Examples of Cytokine Multiplex Analysis for Agricultural Animal Research
View examples of ovine, chicken, and bovine cytokine multiplex assays being used in agricultural animal research below.
Ovine
The MILLIPLEX® Ovine Cytokine/Chemokine Panel 1 is the first multiplex panel designed to analyze your choice of up to 14 ovine cytokines within the same sample. See examples of data using this panel in Figures 1 and 2.

Figure 1.Ovine PBMC (BioIVT, Hicksville, NY) were stimulated for 48 hours with LPS or Concanavalin A (Con-A) or left unstimulated. Cell supernatants were collected and assayed according to the protocol in the MILLIPLEX® Ovine Cytokine/Chemokine Panel 1 (n=3, mean). The analyte IL-8 reached saturation on the standard curve for this sample group.

Figure 2.MILLIPLEX® ovine milk samples (BioIVT, Hicksville, NY) were assayed according to the protocol in the Ovine Cytokine/Chemokine Panel 1 (n=10, mean).
Chicken
The MILLIPLEX® Chicken Cytokine/Chemokine Panel 1 is the first multiplex panel designed to analyze your choice of up to 12 chicken cytokines within the same sample. See example data using this panel below (Figure 3).

Figure 3.Normal healthy New Hampshire chicken plasma and serum samples (n=8 each) were sourced commercially and assayed according to the overnight protocol of the MILLIPLEX® Chicken Cytokine/Chemokine Panel 1. “ND=n” indicates the number of samples for which the analyte was not detected in the assay. The analyte IL-21 was not detected in these samples, however, it is expected that certain disease/inflammation states will show IL-21 values in assay.
Bovine
The MILLIPLEX® Bovine Cytokine/Chemokine Panel 1 is the first multiplex panel designed to analyze up to 15 bovine cytokines within the same sample. Figures 4 and 5 show examples of analyte data from two sample types.

Figure 4. Bovine PBMCs (BioIVT, Hicksville, NY) were treated with LPS or Concanavalin A (Con A) for 48 hours, after which, cell-free samples were collected and assayed with the MILLIPLEX® Bovine Cytokine/Chemokine Panel 1 (n=3 mean ± SEM). *Notes saturation on the standard curve for these sample groups.

Figure 5.Serum samples were obtained from BioIVT (Hicksville, NY). Samples were assayed according to protocol in the MILLIPLEX® Bovine Cytokine/Chemokine Panel 1.
Example of Pituitary Hormone Multiplex Analysis for Companion Animal Research
View an example of canine pituitary hormone multiplex assays being used in companion animal research below.
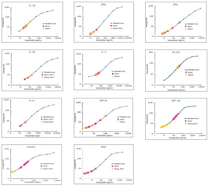
Quantitate canine pituitary hormones in serum, plasma, and cell/tissue culture samples of up to six analytes with the MILLIPLEX® Canine Pituitary Expanded Panel. See example analyte data in Figure 6.

Figure 6.Commercially sourced normal canine serum (n=22) and plasma (n=27) samples were assayed according to protocol using the MILLIPLEX® Canine Pituitary Expanded Panel. Magenta circles show where each sample fell upon the indicated analyte standard curve.
Featured Customer Interviews
Interview on Zika Research with a Rat Cytokine Panel
Watch this interview with Dr. Mukesh Kumar on his Zika research using the MILLIPLEX® Rat Cytokine/Chemokine Magnetic Bead Panel and read his research in the Virology Journal publication.
Q&A on Agricultural Research Using A Bovine Cytokine/Chemokine Multiplex Panel
Read our interview with Dr. Kyle McLean, PAS, Assistant Professor in Ruminant Reproduction, from the Department of Animal Science at the University of Tennessee Institute of Agriculture to see how MILLIPLEX® panels helped advance his agricultural animal research.
Briefly describe your current research.
My research focuses on ruminant reproduction with a particular focus on the uterine environment, placental development, and fetal programming in early gestation.
Specifically, how do cows fit into your research?
Cows are the focus of my research.
Why did you choose cows?
It has been and will always be the focus of my research due to the economic importance and biomedical potential of cattle.
How does using the MILLIPLEX® Bovine Cytokine/Chemokine Panel 1 help your research and/or workflow?
This panel has allowed me to quantify more cytokines with less sample and more quickly than anything else. It has also allowed us to develop a profile for the uterine environment.
What other great work is being done in your laboratory?
We are also establishing the amino acid profile of the uterine environment as well as looking into the impacts of nutrition on the composition of seminal plasma in bulls.
If you could solve any challenge in research, what would it be?
Understand the mechanisms behind the establishment of pregnancy and establish the nutrient requirements of both mother and embryo during pregnancy.
Do you have any advice for scientists starting out in your field?
Don’t be afraid to ask the hard questions and think outside the box.
Mouse
Rat
Non-Human Primate
Canine
Feline
Bovine
Equine
Porcine
Ovine
Chicken
If you cannot find the assay you are looking for, we also offer custom assay services to help you multiplex it your way and develop the right assay for your research.
For Research Use Only. Not For Use In Diagnostic Procedures.
Highlighted Publications
See how MILLIPLEX® multiplex assays are being used in veterinary medicine and animal health research. Also, discover how these kits can be used for animal research models, such as mouse models, in this evaluation of a high-sensitivity mouse cytokine panel.
Companion Animals
Canine
Feline
Agricultural Animals
Bovine
Equine
Porcine
Ovine
For Research Use Only. Not For Use In Diagnostic Procedures.
To continue reading please sign in or create an account.
Don't Have An Account?