Skip to Content
Merck

860080P

Avanti

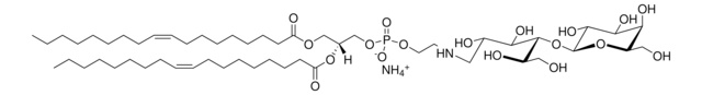
18:1 Lactosyl PE

Avanti Research - A Croda Brand

Synonym(s):

1,2-di-(9Z-octadecenoyl)-sn-glycero-3-phosphoethanolamine-N-lactosyl (ammonium salt)

Sign Into View Organizational & Contract Pricing

Select a Size


About This Item

Empirical Formula (Hill Notation):
C53H103N2O18P
CAS Number:
Molecular Weight:
1087.36
UNSPSC Code:
51191904
NACRES:
NA.25
Technical Service
Need help? Our team of experienced scientists is here for you.
Let Us Assist
Technical Service
Need help? Our team of experienced scientists is here for you.
Let Us Assist

description

1,2-dioleoyl-sn-glycero-3-phosphoethanolamine-N-lactosyl (ammonium salt)

Assay

>99% (TLC)

form

powder

packaging

pkg of 1 × 25 mg (860080P-25mg)
pkg of 1 × 5 mg (860080P-5mg)
pkg of 1 × 50 mg (860080P-50mg)

manufacturer/tradename

Avanti Research - A Croda Brand

shipped in

dry ice

storage temp.

−20°C

SMILES string

[H][C@@](COP(OCCNCC(O)C(O)[C@@H]([C@H](O)CO)O[C@H](O1)[C@H](O)[C@@H](O)[C@H]([C@H]1CO)O)([O-])=O)(OC(CCCCCCC/C=C\CCCCCCCC)=O)COC(CCCCCCC/C=C\CCCCCCCC)=O.[NH4+]

InChI

1S/C53H100NO18P.H3N/c1-3-5-7-9-11-13-15-17-19-21-23-25-27-29-31-33-46(59)67-40-42(70-47(60)34-32-30-28-26-24-22-20-18-16-14-12-10-8-6-4-2)41-69-73(65,66)68-36-35-54-37-43(57)48(61)52(44(58)38-55)72-53-51(64)50(63)49(62)45(39-56)71-53;/h17-20,42-45,48-58,61-64H,3-16,21-41H2,1-2H3,(H,65,66);1H3/b19-17-,20-18-;/t42-,43?,44?,45?,48?,49+,50?,51?,52-,53+;/m1./s1

InChI key

POKKWVSABAYGGQ-GDPHZLNSSA-N

General description

Phosphatidylethanolamine is a phospholipid and is bound to the biological membranes.

Application

18:1 Lactosyl PE is suitable for the preparation of donor liposomes.

Biochem/physiol Actions

Phosphatidylethanolamine has a tendency of binding to proteins and forming a complex of phosphatidylethanolamine-binding protein (PEBP). The binding of an isoform of phosphatidylethanolamine (1-palmitoyl-2-oleoyl-sn-glycerol-3-phosphocholine) to Peroxisome Proliferator-Activated Receptors (PPARs) helps in regulating genes involved in lipid metabolism.

Packaging

5 mL Clear Glass Sealed Ampule (860080P-25mg)
5 mL Clear Glass Sealed Ampule (860080P-50mg)
5 mL Clear Glass Sealed Ampule (860080P-5mg)

Legal Information

Avanti Research is a trademark of Avanti Polar Lipids, LLC

Storage Class Code

11 - Combustible Solids

WGK

WGK 3


Choose from one of the most recent versions:

Certificates of Analysis (COA)

Lot/Batch Number

It looks like we've run into a problem, but you can still download Certificates of Analysis from our Documents section.

If you need assistance, please contact Customer Support

Already Own This Product?

Find documentation for the products that you have recently purchased in the Document Library.

Visit the Document Library

Function from structure? The crystal structure of human phosphatidylethanolamine-binding protein suggests a role in membrane signal transduction
Banfield M J, et al.
Structure, 6(10), 1245-1254 (1998)
A search for ceramide binding proteins using bifunctional lipid analogs yields CERT-related protein StarD7
Bockelmann S, et al.
Journal of Lipid Research, 59(3), 515-530 (2018)
Phosphatidylcholine?s functions beyond that of a membrane brick
Furse S and De Kroon AIPM
Molecular Membrane Biology, 32(4), 117-119 (2015)
Svenja Bockelmann et al.
Journal of lipid research, 59(3), 515-530 (2018-01-19)
Ceramides are central intermediates of sphingolipid metabolism with dual roles as mediators of cellular stress signaling and mitochondrial apoptosis. How ceramides exert their cytotoxic effects is unclear and their poor solubility in water hampers a search for specific protein interaction

Our team of scientists has experience in all areas of research including Life Science, Material Science, Chemical Synthesis, Chromatography, Analytical and many others.

Contact Technical Service